Unité de montage diode dédiée, diode à vide idéale montée indépendamment avec bouclier de sécurité acrylique transparent permet une observation claire du fonctionnement de la diode tout en protégeant les composants en verre. La douille présente un diagramme schématique marqué pour une meilleure compréhension conceptuelle
Module de mesure de courant d'anode précis: le module de mesure de courant d'anode utilise un amplificateur de courant de micro-ampli et un compteur d'affichage numérique de quatre et demi, avec une plage de mesure allant jusqu'à 0.1uA ~ 20mA, qui peut mesurer le courant d'anode faible avec précision, finement et stabilité.
Module de sortie de tension d'anode stable: la tension de sortie d'anode utilise une alimentation linéaire et l'amplitude de sortie atteint 0 ~ 160.0V, ce qui peut fournir la tension d'anode de la diode à vide de manière stable et efficace.
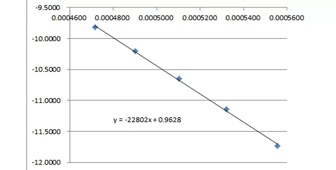
Expérience de mesure de la fonction de travail électrique en métal (fonction de travail).
Apprenez des méthodes expérimentales de base telles que la méthode de mesure en ligne droite de Richardson, la méthode de mesure de l'épitaxie et la mesure de compensation.
Non. | Partie | Spécifications |
1 | Appareil d'expérimentation de fonction de travail électrique en métal | Module de tension d'anode: plage de tension réglable de 0 à 160VDC Module de courant d'anode: La plage de mesure est de 0 à 20mA Module de courant de filament: Gamme réglable de 0 à 800mA |
2 | Boîte idéale de diode sous vide | Matériau du filament: Tungstène pur Matériau de l'anode: Nickel Courant de filament: 0.50 - 0.80 A |
Non. | Partie | Modèle | Qté |
1 | Appareil de fonction de travail d'électrons en métal | BEM-5715 | 1 |
2 | Assemblage idéal de diode sous vide | BEM-5716 | 1 |
3 | Plomb de banane rouge 4mm, rouge | BC-105084 | 2 |
4 | Plomb de banane rouge 4mm, noir | BC-105083 | 2 |
5 | Plomb de banane noir 4mm (gainé), noir | BC-105073 | 1 |
6 | Plomb de banane noir 4mm (gainé), rouge | BC-105074 | 1 |
7 | Cordon d'alimentation | BC-105075 | 1 |
8 | Câble d'extension DIN à 8 broches | BC-105077 | 2 |
UI-5400 logiciel d'acquisition de données Capstone
UI-5000 850 Interface universelle
Capteur de tension sans fil PS-3211 (2 unités)
