Unité de montage diode dédiée
Diode à vide montée indépendamment avec bouclier de sécurité transparent
Bobine de solénoïde intégrée
Solénoïde à 560 tour pour un alignement précis du champ magnétique
Unité de mesure de haute précision
Amplificateur de niveau microampère avec affichage à 4.5 chiffres (0.1μA-20mA)
Alimentation de tension stable
Alimentation linéaire accordable (0-160.0V CC), sans ondulation
Acquisition de données avancée
Deux interfaces PASCO pour la collecte de données en temps réel
Détermination de la fonction de travail des électrons métalliques
Mouvement d'électrons dans les champs électriques et magnétiques combinés (mesure e/m)
Enquête sur Fermi-Dirac Distribution
Caractérisation courant-tension des diodes sous vide idéales
Non. | Partie | Spécifications |
1 | Console principale |
|
2 | Alimentation DC |
|
3 | Diode sous vide |
|
4 | Solénoïde | 560 virages |
# | Pièces détachées | Modèle | Qty. |
1 | Appareil de fonction de travail d'électrons en métal | BEM-5715 | 1 |
2 | Alimentation DC accordable | BEM-5055 | 1 |
3 | Assemblage idéal de diode sous vide | BEM-5716 | 1 |
4 | Bobine de solénoïde | BC-201026 | 1 |
5 | Leads de banane rouge de 2mm (gainé) | BC-104087 | 2 |
6 | Leads de banane noire de 2mm (gainé) | BC-104088 | 2 |
7 | Plomb de banane rouge 4mm | BC-105084 | 1 |
8 | Plomb de banane noire 4mm | BC-105083 | 1 |
9 | Plomb de banane noir 4mm (gainé) | BC-105073 | 1 |
10 | Plomb de banane rouge 4mm (gainé) | BC-105074 | 1 |
11 | Cordon d'alimentation | BC-105075 | 1 |
12 | Câble d'interface à 8 broches | BC-105077 | 2 |
Expérience 1: Détermination de la fonction de travail
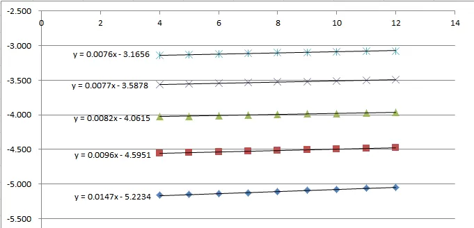
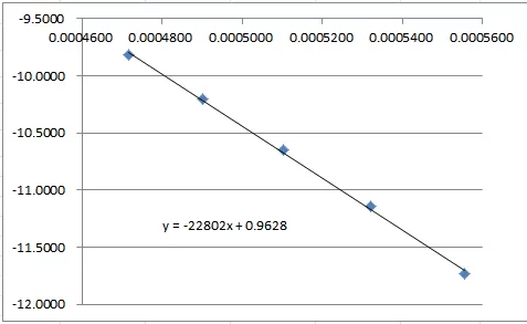
Tableau 1: Caractéristiques du courant d'anode en fonction de la tension et de la température


Tableau 2: Paramètres d'analyse Richardson


Expérience 2: Mesure du rapport charge-masse

Expérience 3: Étude de distribution de Fermi-Dirac


Expérience 4: Caractérisation de la I-V à diode

UI-5400 logiciel d'acquisition de données Capstone
UI-5000 850 Interface universelle
Capteur de tension sans fil PS-3211 (2 unités)
